×
模态框(Modal)标题
在这里添加一些文本
关闭
关闭
提交更改
取消
确定并提交
×
模态框(Modal)标题
×
Toggle navigation
大地测量与地球动力学
首页
期刊介绍
编委会
投稿指南
在线期刊
最新录用
当期目录
过刊浏览
阅读排行
下载排行
引用排行
E-mail Alert
开放获取声明
问题解答
期刊订阅
联系我们
English
检索
E-mail
RSS
×
文章快速检索
图/表 详细信息
徐州、高淳地区应变场及高淳台潮汐因子地震响应特征
郝冉, 杨驰, 何斌, 章东, 张朋, 高明智, 张岑
大地测量与地球动力学, 2025, 45(
12
): 1310-1316. DOI:
10.14075/j.jgg.2024.12.582
图8
盐城大丰海域5.0级地震震源机制解
黄色线条代表苏北-南黄海盆地构造边界;沙滩球代表USGS给出的大丰海域5.0级地震的震源机制解;黑色线条代表断层。F
1
:郯庐断裂带;F
2
: 无锡-宿迁断裂;F
3
:苏北-滨海断裂;F
4
:嘉山-响水口断裂;F
5
:连云港-千里岩断裂;f
1
:泰州断裂;f
2
:小海-陈家堡断裂;f
3
:盐城-南洋岸断裂;f
4
:洪泽-沟墩断裂
本文的其它图/表
图1
区域构造
图2
徐州台4元件数据校准前后对比
图3
徐州台30 d均值应变参数变化
图4
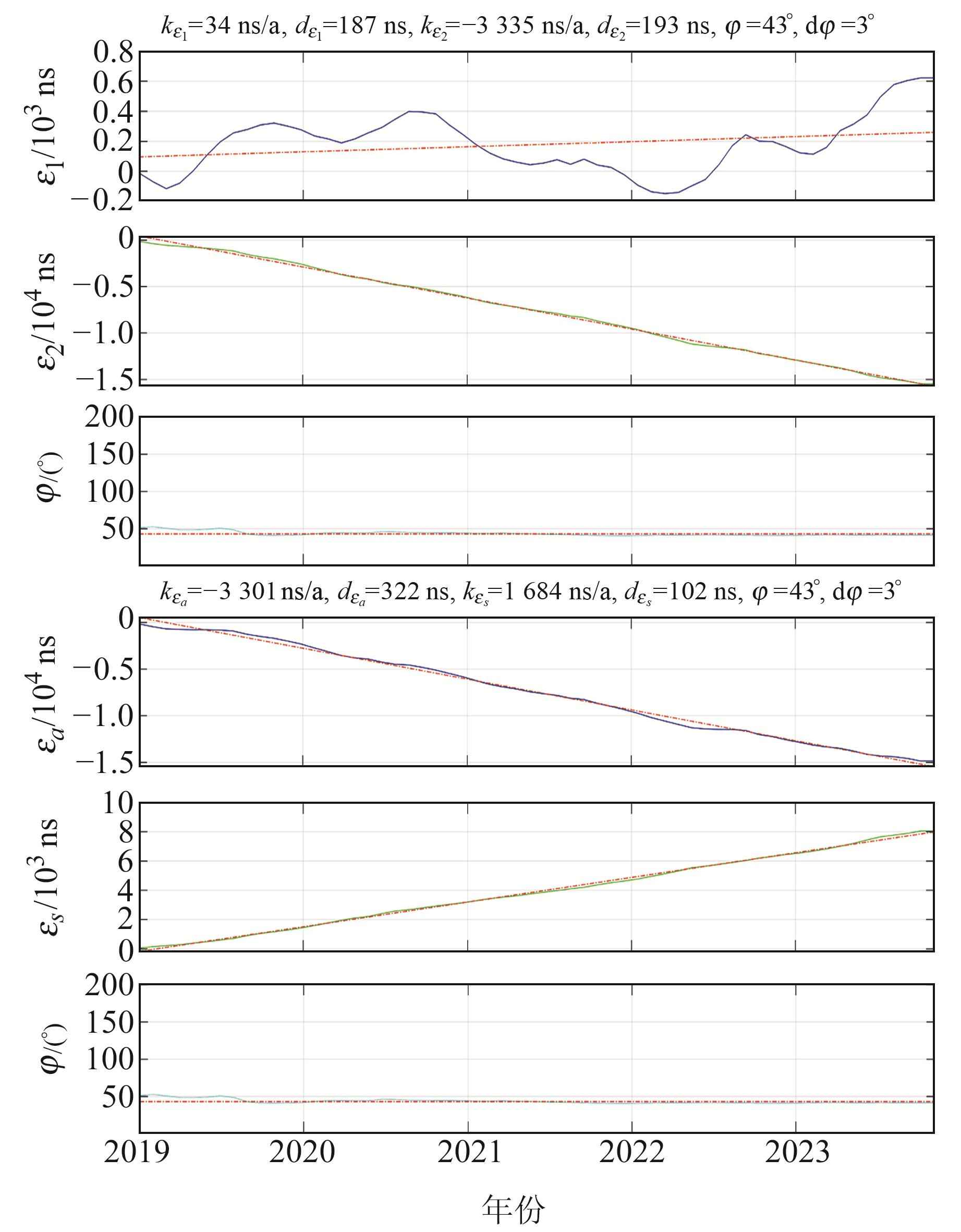
高淳台30 d均值应变参数变化图
图5
徐州台2019-01—2023-11潮汐因子玫瑰图
图6
高淳台2019-01—2021-11潮汐因子玫瑰图
图7
高淳台2021-11—2023-12潮汐因子玫瑰图
图9
徐州台和高淳台应力应变状态分析
图10
徐州台剪应变变化
图11
高淳台剪应变变化